|
Variable |
Descripción |
|||
|
Ondas ultrasónicas |
Las ondas ultrasónicas son ondas mecánicas de alta frecuencia (>20KHz), que pueden presentar distitnos modos de propagación en función de la forma en la que vibran las partículas del material (ondas longitudinales, transversales, superficiales, etc.). |
|||
|
Impedancia acústica |
Z=ρV [Kg/m2s] |
Es la resistencia que ofrece un material al desplazamiento de una onda ultrasónica. Se obtiene como el producto entre la densidad ρ y la velocidad V del sonido en el material. |
||
|
Acoustic pressure |
P= Za |
Denote the amplitude of alternating stresses on a material by a propagating ultrasonic wave. It is related to the acoustic impedance “Z” and the amplitude of the particle vibration “a”. |
||
|
Intensidad acústica |
I=P2/2Z=Pa/2 |
Es la cantidad de energía por unidad de área y tiempo. |
||
|
Tipos de ondas ultrasonicas |
|
En las ondas longitudinales las partículas vibran en la dirección de propagación del sonido. Este tipo de ondas pueden propagarse en sólidos, líquidos y gases. |
||
|
|
En las ondas transversales o de cizalla el movimiento de las partículas es perpendicular a la dirección de propagación de la onda. La velocidad de propagación en un material suele ser diferente para las ondas transversales y las longitudinales. |
|||
|
|
Las ondas superficiales o de Rayleigh se producen en medios semi-infinitos. Se propagan en una región no superior a una longitud de onda por debajo de la superficie del material. Las partículas vibran siguiendo un movimiento elíptico. |
|||
|
Las ondas de Lamb se generan cuando se agrega una segunda condición de borde, por ejemplo, en una placa. Pueden producir vibraciones simétricas o anti-simétricas en placas con espesores de varias longitudes de onda. Las partículas también siguen un movimiento elíptico. |
||||
|
Variables que definen una onda |
λ= c/f = cT |
λ – Longitud de onda [mm]: Distancia que recorre el sonido durante un periodo de oscilación. |
||
|
f – Frecuencia [MHz]: Número de oscilaciones por segundo. |
||||
|
c – Velocidad [mm/us]: Velocidad a la que se mueve la onda por el medio. |
||||
|
T – Periodo [1/f]: Tiempo de una oscilación. |
||||
|
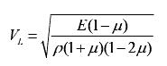
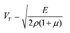
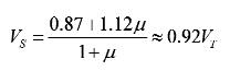
Velocidad del sonido |
Longitudinal |
|
E = Módulo de elasticidad [N/m2]. ρ = Densidad[Kg/m3] μ = Coeficiente de Poisson = (E-2G)G G = Módulo de rigidez. |
|
|
Transversal |
|
|||
|
Superficial |
|
|||






