(*) Texto e imágenes cortesía del Grupo de Sistemas y Tecnologías Ultrasónicas (GSTU) del Instituto de Tecnologías físicas y de la información (ITEFI-CSIC).
Conceptos báscios
La tecnología de inspección por ultrasonidos en aire a presión atmosférica, esto es, sin necesidad de medios líquidos o sólidos de acoplamiento entre transductores y pieza. La tecnología incluye transductores, electrónica y procesamiento digital para inspecciones por transmisión. La Figura 1 muestra 4 posibles configuraciones de inspección, y la figura 2 el arreglo experimental utilizado en este trabajo.

Figura 1 : Posibles configuraciones para la inspección por ultrasonidos en aire.
|
|
|
Figura 2 : Entorno experimental basado en el sistema Ultrascope.
Primer acercamiento al problema de inspección sin contacto
Las medidas realizadas intentan estimar los niveles de atenuación para diferentes materiales, con varios espesores, y la relación señal/ruido que se obtiene en cada caso. El conjunto de medidas y resultados se resumen en una tabla al final de este informe.
La relación señal/ruido se estima dividiendo la máxima amplitud de señal VS por la máxima del ruido VN (expresada en dB). Con frecuencia aparecen reverberaciones internas y otros artefactos que no son ruido y han de ser excluidos de la estimación:
(1)
Es importante destacar que las medidas se han hecho directamente, sin promediar. El promediado y/o la función EMI (eliminación de interferencias) incorporadas a la tecnología disponible, mejoran la relación señal/ruido. Sin embargo, se ha preferido disponer de las cifras en la situación más desfavorable, en la que la medida se obtiene con un único disparo.
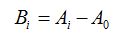
Por otra parte, en cada caso se aplica un voltaje de excitación VP, una ganancia Gi (en dB) para obtener una indicación de pico VS (en video). Suponiendo que, con G=0 dB, un 100% de escala corresponde a 1 V, las pérdidas de inserción son:
(2)
Para realizar una comparación, se evalúan las pérdidas de inserción relativas de la prueba i respecto a la prueba 0 (referencia medida 0, sin pieza):
(3)
Las magnitudes anteriores están expresadas en dB.
La Fig. 3 muestra la señal obtenida en estas condiciones, que establece una referencia de nivel obtenido por transmisión directa emisor-receptor.
Fig. 3- Captura de pantalla de la señal por transmisión directa
Para evitar la saturación del amplificador de entrada, dado el elevado nivel de señal, se redujo la excitación a 50 V, única diferencia respecto a otros experimentos (en los que la excitación se eleva a 400 V, valor estándar de inspección). La ganancia aplicada fue G=10.6 dB para obtener una indicación VS=0.9. La relación del pico de señal al del ruido es SNR≈60 dB. Las pérdidas de inserción son A0 = 45 dB y las normalizadas B0 = 0 dB.
Los restantes parámetros, que se mantienen en el resto de experimentos (salvo indicación expresa) son los mostrados en la Tabla I:
|
Parámetro |
Valor |
|
Ancho del pulso de excitación |
1,9 µs |
|
Números de pulsos de excitación |
2 |
|
Amplitud de la tensión de excitación |
400V |
|
Filtro digital en recepción |
100-400 KHz |
|
Frecuencia de muestreo |
1.5 MHz |
|
Modo de adquisición |
RF |
Descripción de las probetas
Probeta 1: Material laminado en CFRP con núcleo nomex en nido de abeja, con dos espesores: 20 y
Probeta 2, Es un laminado de fibra de carbono de
Probeta 3. Pieza con laminados CFRP y núcleo en nido de abeja de aluminio de
Probeta 4, sándwich de fibra de carbono, fibra de vidrio y poliuretano de 20 y
Probeta 5. Fibra de vidrio maciza, 6 capas y
Probeta 6. Laminado de CFRP de
Probeta 7. Laminado de CFRP de
Probeta 8. Laminado CFRP de
Probeta 9. Disco de acero inoxidable on un espesor de
Probeta 10. Bloque de acero al manganeso de
Resumen de medidas
La Tabla siguiente resume los resultados obtenidos:
|
Nº |
Description |
Gain (dB) |
VS (%) |
VN(*) (%) |
SNR dB |
A dB |
B dB |
|
0 |
Transmisión directa en aire (sin pieza) |
10.6 |
90 |
0.1 |
60 |
45 |
0 |
|
1A |
Laminado CFRP con núcleo nomex (20 mm) |
60 |
40 |
10 |
12 |
120 |
75 |
|
1B |
Laminado CFRP con núcleo nomex (27 mm) |
60 |
40 |
10 |
12 |
120 |
75 |
|
2 |
Lamindao de fibra de carbono de 5mm de espesor |
63 |
80 |
1 |
38 |
117 |
72 |
|
3 |
Laminado CFRP no núcleo aluminio nido de abeja de 17mm de espesor |
80 |
45 |
9 |
14 |
139 |
94 |
|
4A |
Sándwich 3 capas: CFRP, fibra de vidrio, poliuretano, espesor de 20mm |
74 |
80 |
4 |
26 |
128 |
83 |
|
4B |
Sándwich 3 capas: CFRP, fibra de vidrio, poliuretano, espesor de 65mm |
80 |
40 |
10 |
12 |
140 |
95 |
|
5 |
Fibra de vidrio, 6 capas, 5mm de espesor |
65 |
80 |
2 |
32 |
120 |
75 |
|
6 |
Laminado CFRP, 1mm de espesor |
62 |
80 |
1 |
38 |
115 |
70 |
|
7 |
Laminado CFRP, 4mm de espesor |
80 |
70 |
10 |
17 |
135 |
90 |
|
8 |
Laminado CFRP, 20mm de espesor |
68 |
80 |
4 |
26 |
122 |
77 |
|
9 |
Acero inoxidable, 10mm de espesor |
80 |
50 |
14 |
11 |
138 |
93 |
|
10 |
Acero al manganeso, 30mm de espesor |
80 |
20 |
8 |
8 |
146 |
101 |
(*) Nivel de ruido de pico medido en el A-Scan.
Discusión and conclusiones.
Destacan las enormes pérdidas de inserción, que oscilan entre los 115 y los 146 dB para diferentes materiales. En cambio, las pérdidas de inserción de los transductores con acoplamiento directo (sin pieza) son relativamente bajas (45 dB), similares a las que se obtendrían con transductores convencionales y acoplamiento en inmersión.
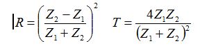
Los coeficientes de reflexión y transmisión (energía) son:
(4)
La impedancia acústica del aire a
Por su parte, el material compuesto CFRP (ρ≈1.9 g/cm3, c≈3.1 mm/μs) tiene una impedancia acústica[1] ZCFRP ≈ 5.9 MRayls. Sustituyendo en (4) para una interfaz aire-CFRP se obtiene que R1=0.9997≈1 y T1=2.71e-4≈0, significando que la reflexión es prácticamente total. El sonido, tras atravesar la pieza (ignorando la atenuación), debe salir a través de otra interfaz CFRP-aire (idéntica a la anterior). Así, la diferencia de impedancias acústicas entre el material CFRP y el aire provoca pérdidas totales (dos interfases: entrada y salida) de 71 dB, que se corresponden con el mínimo de las pérdidas de inserción relativas medido, teniendo en cuenta la gran variabilidad de características del material. A esto hay que añadir la posibilidad de que se exciten resonancias en las probetas que se miden (modo espesor o thickness), o en alguna parte de las mismas (en los laminados externos en el caso de las probetas sándwich) en cuyo caso las pérdidas pueden ser mucho mayores o menores en función de la relación entre frecuencia, espesor y velocidad de propagación y no se pueden estimar mediante el sencillo cálculo anterior.
A las pérdidas de inserción relativas hay que sumar los 45 dB que se pierden por las diferencias de impedancia acústica entre el transductor emisor y el aire, resultando en valores en el entorno de los 120 dB, como se constata en las medidas realizadas. La desadaptación de impedancias afecta menos al receptor (interfaz aire-sólido).
El problema es más acusado si la impedancia acústica del material es mayor que la del CFRP, como por ejemplo, en los dos ejemplos de acero inoxidable y acero al manganeso. En estos casos las pérdidas por diferencias de impedancia acústica son aún mayores.
Además, hay que considerar la atenuación del sonido en el interior del material. Algunas formas constructivas (nido de abeja, por ejemplo), proporcionan unos delgados caminos para la propagación del ultrasonido, por lo que suelen mostrar mayores atenuaciones, como también se constata en las medidas realizadas. Los laminados sólidos proporcionan un área mayor para la propagación del sonido, mostrando en general menores atenuaciones.
También interviene el proceso de fabricación. Por ejemplo, el laminado de CFRP de
A pesar de estos problemas, el conjunto transductores-electrónica atraviesa todos los materiales analizados, en general con una buena relación señal/ruido (de
Si la resolución lo permite (longitud de onda en materiales compuestos del orden de


