Política de Cookies
 
El titular del presente sitio web, espacio, o aplicación (en adelante, el "Contenido") informa a los usuarios de que puede utilizar dispositivos de almacenamiento y recuperación de datos (de manera genérica, denominados "cookies") cuando un usuario navega por el Contenido.
Ultrasonido sin contacto

Fundamentos de Phased Array y TOFD

 

 

αi => Ángulo incidente para obtener el ángulo refractado deseado.

Eh => Altura del centro de la apertura activa - punto emisor virtual.

Pw => Recorrdio del sonido en la suela.

Dw [μs] => Tiempo de vuelo para un ángulo específico.

Ii => Se denomina "index point" a la distancia desde el borde de la suela al punto de entrada al material del haz para un ángulo determiado.

ω => Ángulo de la suela.

Hi => Altura del primer elemento.

Hw => Altura de la suela.

βi => Ángulo refractado en el material.

p => Distancia entre elementos.

L1 => Distancia desde el primer elemento al punto de emisión.

L2 => Distancia desde el punto de emisión a la intersección con el eje horizontal (interfaz).

VW=> Velocidad del sonido en la suela.

VM=> Velocidad del sonido en el material.

Volumen de datos

KS => Número de muestras por línea - Longitud del A-scan.

DL => Número de líneas por imagen.

RS => Número de disparos - Longitud del C-scan.

IS => Velocidad de inspección [mm/s].

SAR => Resolución del barrido   mecánico [mm].

AR => Tasa de adquisición [B-scan/s].

 

 

Apertura activa

La apertura activa es el largo total del array:

A => Apertura activa.

g => Separación entre elementos adyaqcentes.

e=> Ancho de cada elemento, tipicamente ≤ λ/2.

n => Número de elementos.

λ => Longitud de onda.

p (pitch) => Distancia entre centros de dos elementos adyacentes.

W => La apertura pasiva es el largo de cada elemento. Determina la distancia de campo cercano en el plano perpendicular al array.

Fmin – Fmax => Distancias focales máxima y mínima.

 


 

Campo cercano

La distancia del campo cercano depende del tamaño de la apertura activa.

A => Apertura activa.

No => Campo cercano.

Ancho del haz

El ancho del haz depende de la posición del foco y del tamaño de la apertura activa.


 

zfoco => Posición del foco.

κBW  => Constante que depende del criterio para medir el ancho del haz:

κBW => 1 (criterio de Rayleigh)

κBW => 1.22 (criterio de caida a -6dB)

κBW=> 1.33 (critero de Sparrow)

Δx => Resolución lateral, definida por el ancho del haz.

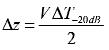
Δz => Resolución axial, definida por:

ΔT-20dB - Duración del pulso a -20dB del máximo.

V=> Velocidad del sonido en el material.

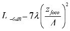
Profundidad de foco

Para una apertura de tamaño (A), la profundidad del foco (L) disminuye con la distancia del foco (zfoco).

La posición del foco debe estar siempre dentro del campo cercano.

A => Apertura activa.

V => Velocidad de sonido en el medio.

Focalización dinámica (DDF)

La focalización dinámica cambia la distancia focal en tiempo real para que la "lente electrónica" siga al frente de ondas durante su propagación, obteniendo así la mejor resolución posible a cualquier profundidad.

 


 

Cálculo de la ley focal en función del ángulo de deflexión


DLE => Retardo en emisión.

DLR => Retardo en recepción.

θ => Ángulo de deflexión.

xi => Posición del elemento “i”.

FE => Distancia desde el centro del array al foco en emisión (RE,θ).

FR1, FR2, FR3, ...=> Distancia desde el centro del array al foco en recepción “n”.

rin => Distancia desde el foco "n" al elemento "i" en ida y vuelta.

VM=> Velocidad del sonido en el material.

Máximo ángulo de deflexión


El ángulo máximo de deflexión depende del tamaño de los elementos.

 

θSTmax => Máximo ángulo de deflexión a -6dB.

e => Ancho de los elementos del array.

λ => Longitud de onda.

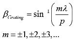
Lóbulos de rejilla

Los lóbulos de rejilla se deben a un sub-muestreo de la apertura activa (separación excesiva entre elementos). Su amplitud depende de la separación entre elementos, de la frecuencia y del ancho de banda.

 

 βGrating => Ubicación angular del lóbulo de rejilla.

 p => Distancia entre elementos.

 λ => Longitud de onda.

 

 

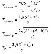
PCS => Separación entre transductores.

TLat.Wave => Tiempo de vuelo de la onda lateral.

S => Distancia desde el transductor al centro de la soldadura.

d => Distancia superior.

h => Altura del defecto.

VL => Velocidad de la ondas longitudinales en el material.

TPP => Tiempo de vuelo al eco de fondo.

TM => Espesor del material.

 

 

 

Técnica de tiempo de vuelo de la difracción

PCS => Separación entre transductores

 

TM => Espesor del material.

VL => Velocidad de las ondas longitudinales en el material.

VT => Velocidad de las ondas transversales en el material

 

 

* El tiempo de vuelo de la onda lateral debe ser mayor que el tiempo de vuelo al eco de fondo

 


 

 

El haz incide con un ángulo de entrada – θ -, a dos tercios del espesor del material (TM)

 

 

VL => Velocidad de las ondas longitudinales en el material

 

tB=> Tiempo de vuelo del eco generado en B.

tC => Tiempo de vuelo del eco generado en C

tD => Tiempo de vuelo del eco generado por el eco de fondo.- punto D.

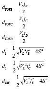
dTOFB => Distancia entre el punto B y el transductor receptor.

dTOFC => Distancia entre el punto C y el transductor receptor.

dTOFD => Distancia desde el fondo al transductor receptor.

d1=> Profundidad del punto B.

d2=> Profundidad del punto C.

 

dBW=> Profundidad del punto D.

 

 


 

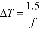
f => Frecuencia de emisión de un transductor de banda ancha con un pulso de duración ΔTLW = 1.5/f.

 

TM => Espesor del material

VL => Velocidad de las ondas longitudinales en el material.

 

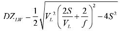
DZLW => Zona muerta de la onda lateral (se incrementa al rededucir la frecuencia)

 

 

DZBW => Zona muerta del eco de fondo (se incrementa al reducir la frecuencia).

 

 

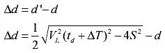
La resolución espacial (Δd) es la capacidad del sistema de distinguir entre dos reflectores puntuales ubicados a distintas profundidades desde la superficie. La resolución espacial es una función de la duración del pulso (ΔT) y empeora con la profundidad del defecto.

 

Industrial Scanners

Aerospace Inspection Solutions

Flaw Detectors

Ultrasonic Flaw Detectors

Phased Array

Guided Wave

Pulser-Receivers

Integrated Inspection Systems

Bar Inspection Systems

Tube Inspection Systems

NDT Systems Instrumentation

 

 

 

 

Advanced NDT applications

GLASSFIBER BROKEN FIBERS

GLASSFIBER UNBOND

RAILWAY STEEL BOLTS

CASTING INCLUSIONS

AUTOMOTIVE NODULARITY

Applications

Application Notes

Applications Support

PDF Library

Video Gallery

Software Downloads

Training Academy

Obsolete Products

ISO Certifications

 

 

Suscripción boletín